Examining Aging Curves for Statcast Metrics
(1/27/23) How well does a typical player's Exit Velocity, Hard Hit%, and Barrel% age?
Originally published on Medium on January 27, 2023.
How well will a player age? This is a question that has been asked by generations of fantasy baseball players and analysts alike when analyzing players who might be soon approaching their “peak”. Determining when the average player “peaks”, using both traditional and advanced metrics, has been analyzed via use of aging curves for over a decade now, and Jeff Zimmerman has written some excellent pieces on FanGraphs about the topic, providing great insight into the methodology of constructing aging curves.
While there is plenty of research available regarding aging curves for traditional and advanced metrics (such as K%, BB%, wRC+, etc.), there appears to be little research conducted regarding aging curves for Statcast metrics outside of this piece written in 2019 by Peter L’Oiseau featuring aging curves for Average Exit Velocity and Launch Angle.
It has been over three years since that piece was written, and now eight seasons into the Statcast era, we have a bigger sample size available in order to create accurate aging curves for these metrics. In this article we will construct and analyze aging curves for four Statcast metrics (Hard Hit%, Average Exit Velocity, Maximum Exit Velocity, and Barrel%) in an attempt to garner better insight into how baseball players age.
Methodology:
For the construction of these aging curves, I have followed the commonly-used “delta method” which takes every player in the dataset that has played in consecutive seasons, takes the difference of metric X from year Y1 to Y2, and puts this difference in the bin for the player’s age in Y2. For more information on the “delta method”, Mitchel Lichtman wrote a fantastic description of the method in this article from back in 2009.
For this dataset, I have included every offensive player that has played since 2015 (the entirety of the Statcast era), with a minimum of 50 plate appearances per season. For those wondering, I am classifying Shohei Ohtani as an offensive player, therefore he is included in the dataset as well.
I thought for a while about whether or not I should apply weights to the dataset in order to place more emphasis on players who had the most plate appearances, however I decided against placing weights for a few reasons. One, I do not believe that having more plate appearances increases a player’s chances to have a higher Max. Exit Velocity. Does a player with 600 PA have more opportunities to produce a 120 MPH EV than a player with 100 PA? Of course. However, I do not believe that this will significantly affect the outcomes generated by the dataset. Second, Barrel% and Hard Hit% are already expressed as a percentage of plate appearances and I believe if a player hits the ball hard a lot in a short sample size, they are going to earn more plate appearances which will in-turn give them a larger size. Lastly, the shortened 2020 season messes everything up when it comes to weighing by number of plate appearances. A shorter season means fewer plate appearances for everyone, significantly complicating the weighing process. I believe this clears up any questions regarding the dataset, onto the aging curves!
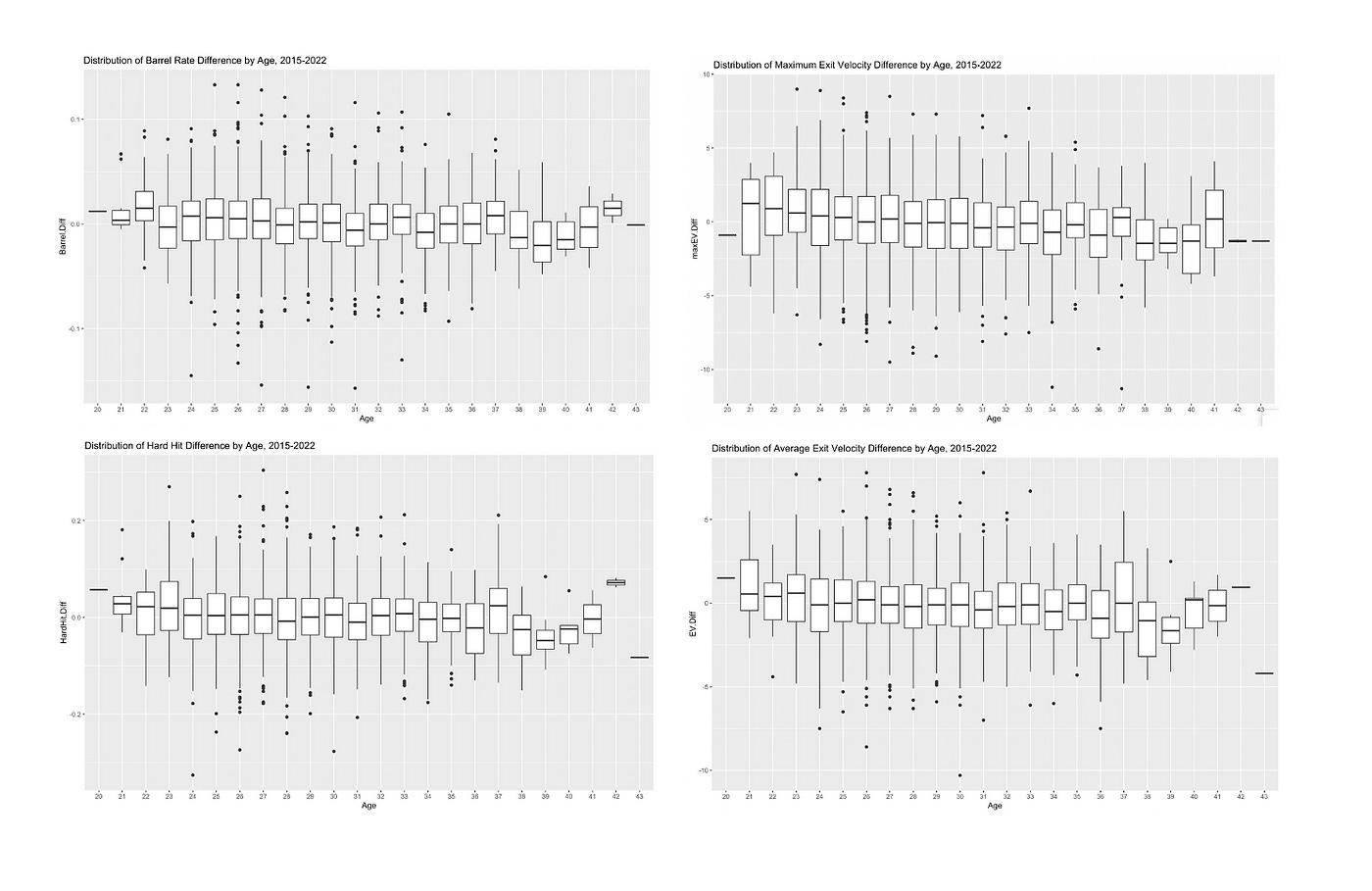
Distributions:
As shown by the boxplots above, the data is a bit noisy for each of the Statcast metrics we are analyzing. With averages either slightly above or slightly below zero, there can be quite a bit of variance in this dataset as players have nearly an equal chance of improving or declining year after year. As time goes on, the distributions become tighter in general, with the notable exception of age 37 which we will explain a bit later.
Aging Curves:
Taking a look at the aging curves for Barrel% and Hard Hit%, my first reaction is that they are a bit noisy! The only conclusion that I can make from this data is that a player’s Barrel% and Hard Hit% will decrease after the age of 35. This is not a groundbreaking discovery. The data points for Barrel% appear to be generally “all over the place”, however I do find it interesting that there is a sharp increase between ages 20 to 25. This will be something to pay attention to as I continue to research these aging curves, and it is possible that this discovery will be the main takeaway of a Barrel% aging curve.
The Hard Hit% aging curve provides us with a bit more useful information, as there is a slight increase from ages 20 to 25, a stabilization from ages 26 to 35, and a sharp decline after age 35. Davy Andrews of FanGraphs wrote a great piece in December introducing “the Victor Robles Problem” and demonstrated that there is a strong correlation present between a player’s Hard Hit% as a rookie to their Hard Hit% as a veteran. It is a fascinating article, and I will include a link to the piece below. This aging curve appears to validate the Victor Robles Problem, as the curve stabilizes until after age 35, where the data begins to get a bit messy, presumably due to age-related decline as well as some survivorship bias.
Taking a look at the aging curves for Maximum and Average Exit Velocity, there are more clearly defined peaks for both metrics, as opposed to the aging curves for Barrel% and Hard Hit%. An average player’s Max. Exit Velocity and Average Exit Velocity peaks at 27 before entering a steady decline until that player’s retirement. The data points for these aging curves are considerably less noisy than the previous two aging curves, and I believe that these discoveries can be particularly useful as it relates to predicting when a player will reach peak offensive production, as well as determining if an underperforming player still has untapped potential.
Conclusions and Final Thoughts:
This article aimed to construct and analyze aging curves for four Statcast metrics in order to gain better insight into how baseball players age. The distributions of the data were found to be a bit noisy, but the aging curves for Barrel% and Hard Hit% showed that these metrics decrease significantly after the age of 35. The Hard Hit% aging curve also showed a slight increase from ages 20 to 25, a stabilization from ages 26 to 35, and a sharp decline after age 35. The aging curves for Maximum and Average Exit Velocity had more clearly defined peaks before entering a steady decline until retirement.
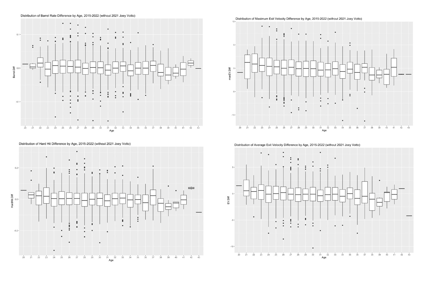
Similar to how my thought process regarding weighing the dataset based on number of plate appearances, I considered removing some “outlier” seasons from the dataset. All of us know that Joey Votto is very good at baseball, and he is known to significantly change his offensive approach and batting stance season-to-season. In his age 37 season, Joey Votto experienced an increase in his Barrel%, Hard Hit%, and Exit Velocity that was not present in any other age-37 players in the dataset. Therefore, I decided to remove him from the dataset and reconstruct the aging curves to see if I could draw any new conclusions.
Removing Joey Votto’s 2021 season from the dataset gave us more clarity that a typical player’s Hard Hit% and Barrel% begin to significantly decline after age 35, however removing this outlier from the dataset does not result in a significant change of our earlier conclusions. Would removing other “outliers” result in more clear results regarding a player’s Hard Hit% and Barrel% aging curve? Possibly, and this is a topic I will likely further pursue when adjusting these aging curves in the future along with determining a method in which to properly weigh the dataset based on playing time.
Overall, these aging curves provide valuable insights into how baseball players age using Statcast metrics and can be useful for fantasy baseball players and analysts in determining when players are likely to “peak” in their careers.
Follow @MLBDailyStats_ on X (Twitter) for more in-depth MLB analysis. Statistics provided by FanGraphs.








