Modeling Salary Arbitration: Part Three — Projections
(10/22) 2023 Arbitration projections for Major League Baseball players.
Originally published as a series of posts on Medium in October 2022.
Welcome to Part Three of my multi-part series in which I explore the Major League Baseball arbitration process, and formulate a model that can be used to project salaries for arbitration-eligible players. In this article, I will be forecasting 2023 salaries for arbitration-eligible players in the American and National League West divisions.
Background:
To review, Major League Baseball players that have between three and six years of service time, or have two years of service time and are designated as a “Super Two”, are eligible for arbitration if they are unable to reach a contract agreement with their respective team before arbitration hearings begin at the end of the offseason. Both sides present to the arbitration panel a salary offer for the upcoming season, and the panel chooses which proposal will become the player’s salary. One storyline that has developed in recent years is that arbitration panels are more inclined to award salaries based off of a player’s traditional statistics, as opposed to advanced metrics which are often more indicative of a player’s value to their team. With this perceived discrepancy present, it is imperative that teams identify which variables influence the arbitration panel’s decisions in order to understand how players are valued by the panel, and identify which players might remain undervalued during their years of arbitration eligibility.
As covered in Parts One and Two of this series, arbitration panels have shown a tendency to rely on traditional statistics when determining a player’s awarded salary for the upcoming season. Home Runs and Plate Appearances are major factors when determining an offensive player’s salary, while WHIP, HR/9, SO/9, and Saves are major factors when determining salaries for pitchers. Whether or not a player appeared on that season’s All-Star team also plays a significant role in the arbitration panel’s decision. More details and information on how the arbitration models were constructed can be found in Parts One and Two of this series.
AL West Projections:
Below are the projected 2023 salaries for arbitration-eligible players in the American League West.
NL West Projections:
Below are the projected 2023 salaries for arbitration-eligible players in the National League West.
AL Central Projections:
Below are the projected 2023 salaries for arbitration-eligible players in the American League Central.
NL Central Projections:
Below are the projected 2023 salaries for arbitration-eligible players in the National League Central.
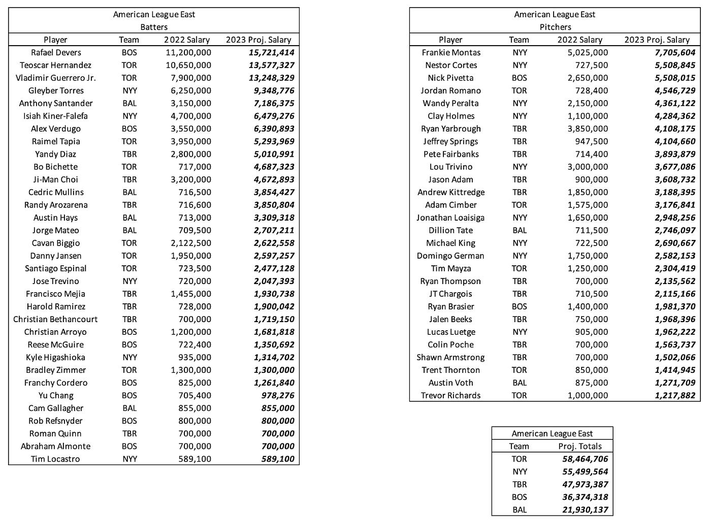
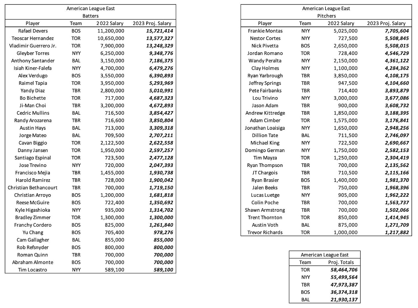
AL East Projections:
Below are the projected 2023 salaries for arbitration-eligible players in the American League East.
NL East Projections:
Below are the projected 2023 salaries for arbitration-eligible players in the National League East.
Deeper Look: Young All-Star Hitters:
One group of players that stood out to me after completing these projections were the first-time eligible offensive players who appeared in this year’s All-Star Game (Kyle Tucker, Ty France, and Jake Cronenworth). While these players are due for substantial raises next season due to the extraordinary starts to their Major League careers, the projections that the arbitration model forecasted for them seemed too large compared to arbitration modeling conducted by other analysts (such as MLBTR’s Matt Swartz). To further analyze projected raises for these players next season, I will compare each player with two similar players who entered arbitration at the same age.
Kyle Tucker:
Two players who also entered arbitration for the first time after their age-25 season were Javier Baez (2018) and Ian Happ (2020).
Kyle Tucker and Ian Happ both had similar batting averages in their age-25 seasons, and also had similar wRC+ (132 for Happ, 129 for Tucker). Using Home Runs as a percentage of Plate Appearances to adjust for the 2020 shortened season, Tucker and Happ had similar Home Run rates in their age-25 season as well (5.2% for Happ, 4.9% for Tucker). With 107 RBI’s compared to Happ’s 27, when adjusted for a full season it can be assumed that Kyle Tucker drove in more runs than Ian Happ in their age-25 season.
Javier Baez had a higher batting average than Kyle Tucker in his age-25 season, and also had a slightly higher wRC+ (131 for Baez, 129 for Tucker). Both Baez and Tucker produced similar Home Run and RBI totals during these seasons, and Baez has a slight positional advantage of playing Shortstop as opposed to Right Field. Given these factors, I would expect Kyle Tucker to be awarded between $4,100,000 and $5,200,000 for the 2023 season.
Ty France:
Two first basemen who also entered arbitration after their age-25 seasons were Brandon Belt (2015) and Trey Mancini (2019).
Ty France and Brandon Belt both had similar batting averages in their age-27 seasons, and also had similar Home Run totals. France has an advantage over Belt since he produced more RBI’s, but Belt was entering the arbitration process for the second time, so his 2016 salary is expected to be higher than what France would receive in 2023.
Trey Mancini had higher Batting Average, Home Run, and RBI totals than Ty France did during his age-27 season, and also had a slightly higher wRC+ (127 for France, 132 for Mancini). Similar to France, Mancini was also entering the arbitration process for the first time after his age-27 season. Given these factors, I would expect Ty France to be awarded between $2,500,000 and $3,000,000 for the 2023 season.
Jake Cronenworth:
Two second basemen who also entered arbitration for the first time after their age-28 season were Cesar Hernandez (2018) and Logan Forsythe (2015).
Jake Cronenworth and Cesar Hernandez both had similar Home Run totals in their age-28 seasons, and Hernandez produced a slightly higher batting average than Cronenworth. Cronenworth has an advantage over Hernandez since he produced more RBI’s, but Hernandez was entering arbitration for the second-to-last time, so his 2019 salary is expected to be higher than what Cronenworth would receive in 2023.
Danny Espinosa had an identical batting average to Jake Cronenworth in their age-28 season, and Espinosa hit more Home Runs than Cronenworth if analyzed as a percentage of Plate Appearances. However, regardless of adjustments Cronenworth drove in more runs in his age-28 season than Espinosa did. Similar to Cesar Hernandez, Danny Espinosa was entering arbitration for the second-to-last time, so his 2016 salary is expected to be higher than the raise Cronenworth would be awarded for 2023. Given these factors, I would expect Jake Cronenworth to be awarded between $2,875,000 and $4,500,000 for the 2023 season.
Conclusions:
After completing the player comparisons on the three All-Star “Rookies” I decided to re-run their arbitration projections with a 0 for their All-Star variable, as opposed to a 1 which I had ran previously. This adjustment resulted in the following.
Given the findings that occurred during the player comparisons, these second projections appear to be more accurate than the first projections that were compiled. Is it possible Kyle Tucker is awarded $9,000,000 during his first run of arbitration? I suppose anything is possible, and I will give myself a pat on the back if that indeed is the case, but it looks like this adjustment in the model is necessary for achieving optimal results.
How can this adjustment be explained in terms of the regression model? Looking at the dataset I used for “Rookies” in Part 1 of this series, the only All-Star that went to arbitration in his first year of eligibility was Mookie Betts after the 2018 season, at age-24. All three of the All-Stars that I further analyzed in this piece were aged 25 or older. Moving forward, it seems apparent to me that the All-Star dummy variable should be changed to an All-Star Under Age-25 dummy variable, since it seems reasonable that the panel would highly reward a player who has reached the All-Star Game (and arbitration eligibility) at such a young age. This variable will definitely be something to observe carefully as I complete arbitration projections in the future.
Follow @MLBDailyStats_ on X (Twitter) for more in-depth MLB analysis. Statistics provided by Baseball-Reference and FanGraphs.

















